East Of, Site 1, 155 Finvoy Road, Ballymoney

£79,950

Plot for sale in Ballymoney

  • An idyllic semi-rural building plot.
  • Outline Planning Permission (granted June 2023) for a single storey or chalet type bungalow.
  • Private entrance to the Finvoy Road.
  • Mature plot with existing trees and foliage.
  • Only 4 miles drive to Ballymoney town centre.
  • Viewing highly recommended to fully appreciate the situation and superb potential of the same.

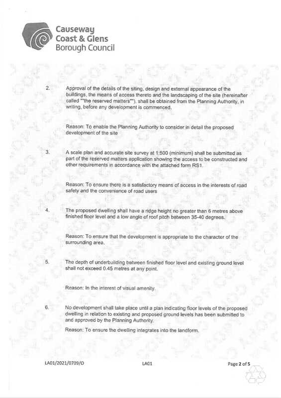
This delightful mature building plot extends to circa 0.3 acres and is bordered by mature trees and shrubbery. It's also conveniently only 4 miles from Ballymoney with Outline Planning Permission (LA01/2021/0709/0) granted (13th June 2023) for a detached bungalow/chalet bungalow and as such we highly recommend inspection to fully appreciate this tranquil yet convenient building plot.

Property Ref: ST0608216_931286

Share:

Similar Properties

28 Main Street, Ballymoney

Shop | Offers in region of £79,950

Adj To, 108 Tullaghans Road, Dunloy, Ballymena

Plot | Offers in region of £79,950

Opp, 20 Taughey Road, Ballymoney

Plot | Offers in excess of £75,000

Site Adjacent To, 79 Rusky Park, Aghadowey, Coleraine

Plot | Offers in excess of £85,000

McAfee Properties (Ballymoney)

Ballymoney, Ballymoney, County Antrim, BT53 6AN

028 2766 7676

How much is your home worth?

Use our short form to request a valuation of your property.

Request a Valuation

Mortgage Calculator

Amount Borrowed: £
Total Amount Repayable: £
Total Monthly Payment: £
©2025 The Guild of Property Professionals. All rights reserved. Terms and Conditions | Privacy Policy | Cookie Policy | Complaints Policy | Members Login
The Guild of Property Professionals Trading Address: 121 Park Lane, London W1K 7AG. GPEA Limited. Registered in England & Wales.  Company No: 02819824.  Registered Office Address: 2 St. Stephen's Court, St. Stephen's Road, Bournemouth, Dorset, England, BH2 6LA.  VAT Registration No: 576 8795 61
Book a Property Valuation Update Cookies Preferences